Der Supraleiter Strontiumruthanat stellt die Wissenschaft vor viele Fragen. Forschende am Karlsruher Institut für Technologie (KIT) und am Max-Planck-Institut für Chemische Physik fester Stoffe (MPI CPfS) in Dresden haben nun festgestellt, dass mechanischer Druck die Supraleitung erhöht und zugleich die Verformung des Materials erleichtert. Dies führen sie auf quantenmechanische Anregungen der Elektronen zurück. Ihre Arbeit trägt zum Verständnis des Wechselspiels von elastischen und elektronischen Eigenschaften bei. Die Forschenden berichten in der Zeitschrift Science. (DOI: 10.1126/science.adf3348)
Supraleiter sind Materialien, die beim Unterschreiten einer bestimmten Temperatur, der sogenannten Sprungtemperatur, keinen elektrischen Widerstand aufweisen. Dies macht sie unter anderem für verschiedene Anwendungen der Energiewandlung und -verteilung interessant. Bei Strontiumruthanat (Sr2RuO4) hat die Wissenschaft noch nicht verstanden, wie es zur Supraleitung kommt. „Die konventionelle Theorie lässt sich auf Strontiumruthanat nicht anwenden. Doch die Quantenmechanik bringt uns weiter, denn mit ihr lassen sich nicht nur die Eigenschaften einzelner Atome und Moleküle, sondern auch die kollektiven Eigenschaften von Vielteilchensystemen beschreiben“, sagt Professor Jörg Schmalian, Leiter des Instituts für Theorie der Kondensierten Materie (TKM) des KIT sowie Leiter der Abteilung Theorie der Quantenmaterialien am Institut für QuantenMaterialien und Technologien (IQMT) des KIT.
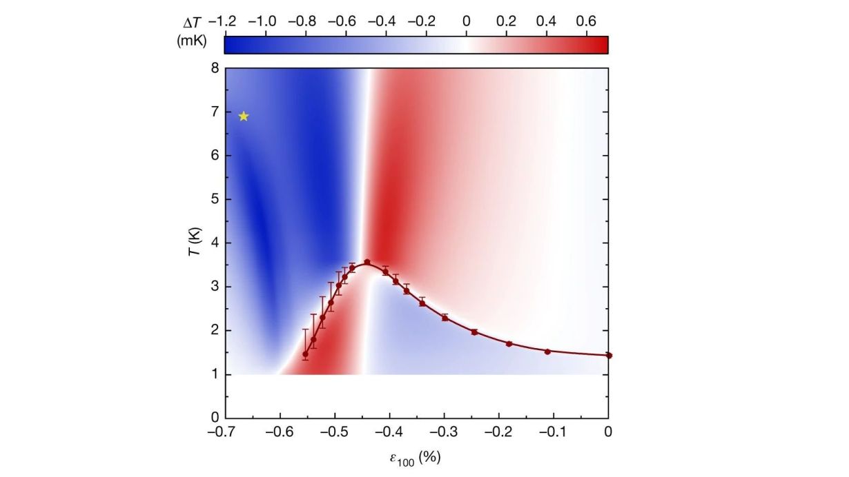
Mechanischer Druck entlang einer Richtung erhöht Sprungtemperatur
Schmalian ist einer der Hauptautoren der in der Zeitschrift Science veröffentlichten Studie. Forschende an mehreren Instituten des KIT und am MPI CPfS hatten bereits 2022 in einer Publikation in der Zeitschrift Nature demonstriert, wie sich durch mechanisches Drücken entlang einer bestimmten Richtung die Sprungtemperatur von Strontiumruthanat deutlich erhöhen lässt und wie dabei das Anregungsverhalten der Elektronen verändert wird. Zusammen mit internationalen Partnern stellten die Forschenden aus Karlsruhe und Dresden nun fest, dass genau dieser Druck, der die Supraleitung stark erhöht, das Material mechanisch wesentlich weicher macht, sodass Verformungen erleichtert werden. Dies führen die Forschenden auf eine quantenmechanische Resonanz der Schwingungen der Elektronen zurück.
Vor rund 60 Jahren sagte der sowjetische Physiker Ilja M. Lifschitz ein mechanisches Aufweichen vorher, das heute als Lifschitz-Übergang bekannt ist. „Der Effekt, den wir nun identifiziert haben, ist jedoch mehr als tausendmal größer und lässt sich klar mit der Verstärkung von Supraleitung in Verbindung bringen. Das ist verblüffend, weil weniger als ein Prozent der insgesamt im Material existierenden Elektronen eine Reduktion der elastischen Konstanten um 20 Prozent erzwingen“, erläutert Schmalian.
Einige wenige stromführende Elektronen haben das Sagen
Um die Untersuchung des Wechselspiels von elastischen und elektronischen Eigenschaften geht es auch im von der Deutschen Forschungsgemeinschaft (DFG) geförderten Transregio ELASTO-Q-MAT, in dem das MPI CPfS und das KIT stark vertreten sind. Für die in Science publizierte Studie entwickelten Forschende des KIT ein Modell des Effekts, bei dem einige wenige der stromführenden Elektronen alle anderen beherrschen und das Material viel weicher machen können. Die Messungen dazu liefen am MPI CPfS in Dresden. „Ilja M. Lifschiz machte in seiner Theorie keinen Fehler“, betont Schmalian. „Unsere Studie bietet jedoch eine neue Perspektive und eröffnet die Möglichkeit, in Zukunft starke Quantenfluktuationen im Labor zu manipulieren und Materialien für einen gegebenen physikalischen Effekt zu optimieren.“
Originalpublikation
H. M. L. Noad, K. Ishida, Y.-S. Li, E. Gati, V. Stangier, N. Kikugawa, D. A. Sokolov, M. Nicklas, B. Kim, I. I. Mazin, M. Garst, J. Schmalian, A. P. Mackenzie, and C. W. Hicks: Giant lattice softening at a Lifshitz transition in Sr2RuO4. Science, 2023. DOI: 10.1126/science.adf3348
Abstract unter: https://www.science.org/doi/10.1126/science.adf3348
Weitere Informationen zum Transregio ELASTO-Q-MAT
Im Dialog mit der Gesellschaft entwickelt das KIT Lösungen für große Herausforderungen – von Klimawandel, Energiewende und nachhaltigem Umgang mit natürlichen Ressourcen bis hin zu Künstlicher Intelligenz, technologischer Souveränität und demografischem Wandel. Als Die Universität in der Helmholtz-Gemeinschaft vereint das KIT wissenschaftliche Exzellenz vom Erkenntnisgewinn bis zur Anwendungsorientierung unter einem Dach – und ist damit in einer einzigartigen Position, diese Transformation voranzutreiben. Damit bietet das KIT als Exzellenzuniversität seinen mehr als 10 000 Mitarbeitenden sowie seinen 22 800 Studierenden herausragende Möglichkeiten, eine nachhaltige und resiliente Zukunft zu gestalten. KIT – Science for Impact.
