![]() (19.12.2023)Neue Studie erforscht langanhaltende Auswirkungen der Pandemie auf die Gesundheit Heranwachsender Physische und psychische Gesundheit von 4- bis 17-Jährigen im Fokus der über drei Jahre laufenden Untersuchung Mehr erfahren |
![]() (12.10.2023)Stellungnahme zur Situation in Israel Das KIT teilt die Sorge der Allianz der Wissenschaftsorganisationen um die Menschen in der Region und alle, die auf der Flucht sind. Wir hoffen auf ein baldiges Ende der Kampfhandlungen. Mehr erfahren |
![]() (18.12.2023)Mobilität: Geräuschemissionen im Straßenverkehr mindern Forschende des KIT entwickeln Berechnungsmodell für verminderte Reifen-Fahrbahn-Geräusch-Emission Mehr erfahren |
![]() (14.12.2023)Klimahack für die Stahlindustrie: Neues Verfahren macht Roheisenherstellung nachhaltiger Forschende des KIT und Partner demonstrieren ein Verfahren, das den Ausstoß von Treibhausgasen bei der konventionellen Stahlproduktion deutlich reduziert Mehr erfahren |
![]() (14.12.2023)Deutsches Treibhausgas-Monitoring auf internationaler Bühne Das KIT beteiligt sich an einem unabhängigen nationalen System zur Emissionsüberwachung, das auf der Weltklimakonferenz vorgestellt wurde Mehr erfahren |
![]() (13.12.2023)Lehramtsstudium: Neue Werkzeuge für digitales Lernen in MINT-Fächern Vierjähriges Projekt digiMINT geht zu Ende – Einsatz von digitalen Werkzeugen gehört nun zum Lehramtsstudium am KIT Mehr erfahren |
![]() (12.12.2023)Thomas Hirth bleibt stellvertretender Eucor-Präsident Auch Präsidentin Andrea Schenker-Wicki wiedergewählt – zweite Amtszeit läutet neuen Eucor-Strategiezeitraum 2024 bis 2030 ein Mehr erfahren |
![]() (12.12.2023)CHE-Masterranking 2023: KIT mit Spitzenwerten in Wirtschaftsingenieurwesen und Wirtschaftsinformatik Beide Masterstudiengänge erreichen im aktuellen Ranking des CHE Centrum für Hochschulentwicklung Top-Bewertungen in mehreren Kategorien Mehr erfahren |
![]() (11.12.2023)Meltem Elitaş erhält Humboldt-Forschungspreis Die türkische Biomechatronik-Forscherin ist KIT Excellence Fellow und wird am Institut für Mikrostrukturtechnik arbeiten Mehr erfahren |
![]() (08.12.2023)Bildgebung: Schonender Röntgenblick in winzige lebende Proben Forschende des KIT stellen neues Verfahren mit hoher Dosiseffizienz und mikrometergenauer Auflösung für Biologie und Biomedizin vor Mehr erfahren |
![]() (08.12.2023)Architektur trifft Pädagogik: Schule neu gedacht Die Ergebnisse des Projekts „Schule als hybrides System – Mehr als ein Lernort“ liefern eine Blaupause für funktional vielseitigere, integrative und zukunftsfähige Bildungsorte Mehr erfahren |
![]() (07.12.2023)Energiewende in Kommunen: Strom, Wärme und Verkehr gemeinsam denken Forschende des KIT unterstützen Städte und Gemeinden dabei, die Sektorkopplung voranzutreiben Mehr erfahren |
![]() (07.12.2023)Mit neuer Simulationsmethode zur Lithium-Metall-Batterie Tool aus dem KIT ermöglicht wissensbasiertes Design von Festkörper-Elektrolyt-Zwischenschichten auf Lithium-Metall-Elektroden Mehr erfahren |
![]() (06.12.2023)Industrie 4.0: Neue Horizonte für die Qualifizierung von Fachkräften Berufspädagogische Studie erschließt Wege für eine bessere Anbindung der betrieblichen Weiterbildung an die Lernfabriken der Berufsschulen Mehr erfahren |
![]() (05.12.2023)MobileCity-App gewinnt Deutschen Mobilitätspreis Das Projekt MobileCityGame und die darin entwickelte MobileCity-App von Fraunhofer und KIT simuliert eine ökologisch und finanziell nachhaltiges urbanes Mobilitätssystem Mehr erfahren |
![]() (05.12.2023)Optik und Photonik: Hightech-Zentrum für das KIT Das Karlsruhe Center for Optics and Photonics setzt neue Maßstäbe und nutzt Synergien – Interdisziplinarität fördert Austausch und Innovation Mehr erfahren |
![]() (01.12.2023)Innovative Materialien: NEO2023 geht an Ausgründung des KIT Doppelerfolg beim Innovationspreis der TechnologieRegion Karlsruhe: Die nanoshape GmbH erhält den Jurypreis, das Institut für Mechanische Verfahrenstechnik und Mechanik des KIT den Publikumspreis Mehr erfahren |
![]() (01.12.2023)Kosten der Klimakrise: Rettungsschirm für bedrohte Nationen Öffentlich-private Partnerschaften könnten dabei helfen, Entwicklungsländer vor dem finanziellen Folgen des Klimawandels zu schützen Mehr erfahren |
![]() (29.11.2023)Hochaufgelöste Niederschlagskarten mittels KI Forschende des KIT haben erstmals mithilfe von Deep Learning sowohl die räumliche als auch die zeitliche Auflösung grober Niederschlagskarten verbessert Mehr erfahren |
![]() (28.11.2023)Rückgewinnen statt schreddern: Batterien effizienter recyceln Forschende des KIT entwickeln mit der Industrie einen nachhaltigeren Recyclingprozess, um Materialien aus Lithium-Ionen-Batterien wirksamer wiederzuverwerten Mehr erfahren |
![]() (28.11.2023)Nachhaltigkeit: Neue Methoden zum Recycling von Windrädern Forschende des KIT untersuchen, wie Rotorblätter von Windkraftanlagen nachhaltiger und effizienter wiederverwertet werden können Mehr erfahren |
![]() (24.11.2023)Vision des ewigen innovativen Produkts: Kreislauffabrik soll Produktion revolutionieren DFG fördert Spitzenforschung am KIT mit rund 11 Millionen Euro – neuer Sonderforschungsbereich soll gravierenden Ressourcenverbrauch stoppen Mehr erfahren |
![]() (23.11.2023)Bessere Regenmessung dank Mobilfunk Mithilfe von Daten aus dem Mobilfunknetz erstellen Forschende des KIT Niederschlagskarten in Westafrika zur Verbesserung der Hochwasservorhersage Mehr erfahren |
![]() (22.11.2023)KIT plant Klimaforschung im Weltraum Die Satellitenmission CAIRT soll klären, wie die Erdatmosphäre auf den Klimawandel reagiert Mehr erfahren |
![]() (22.11.2023)Humboldt-Ranking 2023: KIT auf drittem Platz Zahl der Forschungsaufenthalte internationaler Forschender mit einer Förderung durch die Alexander von Humboldt-Stiftung ausschlaggebend Mehr erfahren |
![]() Elia Fioravanti erhält Emmy Noether-Förderung Die Deutsche Forschungsgemeinschaft (DFG) hat im Zeitraum vom 1. Januar bis 31. März 2023 14 Wissenschaftlerinnen und Wissenschaftler neu in das Emmy Noether-Programm und 15 neu in das Heisenberg-Programm aufgenommen. Mehr erfahren |
![]() (21.11.2023)Hohe Auszeichnung für Hochschulsport des KIT Allgemeiner Deutscher Hochschulsportverband kürt KIT zur „Hochschule des Jahres 2023“ und würdigt Engagement von der Gesundheitsförderung bis zum Spitzensport Mehr erfahren |
![]() (20.11.2023)Erster "International Excellence Award“ für Chemiker Thalappil Pradeep Der indische Spitzenforscher erhält den mit bis zu 50 000 Euro in Sachmitteln dotierten Preis des KIT für seine Arbeit an Nanomaterialien Mehr erfahren |
![]() (16.11.2023)KI für Perowskit-Solarzellen: Schlüssel zur besseren Produktion Methoden der Künstlichen Intelligenz zeigen Forschenden den Weg zu verbesserten Herstellungsprozessen für hocheffiziente Solarzellen – Blaupause für andere Forschungsfelder Mehr erfahren |
![]() (15.11.2023)Nanopartikel für optimierte Krebstherapie Neuer Behandlungsansatz für die Therapie von Bauchspeicheldrüsenkrebs soll die Krankheit künftig gezielter und mit weniger Nebenwirkungen behandeln Mehr erfahren |
![]() (15.11.2023)„Highly Cited Researchers“ aus dem KIT Fünf Forschende des KIT sind in diesem Jahr unter den meistzitierten Wissenschaftlerinnen und Wissenschaftlern weltweit Mehr erfahren |
![]() (14.11.2023)Abwasser als Corona-Frühwarnsystem Ein vom KIT koordiniertes EU-Projekt hat ein abwasserbasiertes Corona-Frühwarnsystem getestet, das zu einer besseren Covid-19-Lagebewertung beiträgt Mehr erfahren |
![]() (13.11.2023)Autonome Fahrzeuge: Bessere Sensoren für sichereres Fahren Forschende des KIT und Partner entwickeln ein System, das die verlässliche und präzise Wahrnehmung der Umgebung autonomer Fahrzeuge sicherstellt Mehr erfahren |
![]() (10.11.2023)KIT benennt Informationstechnologie-Zentrum um Distanzierung vom Namensgeber Karl Steinbuch – „Scientific Computing Center“ als neue Bezeichnung Mehr erfahren |
![]() (09.11.2023)Abschiedssymposium für Professor Holger Hanselka Gemeinsam mit Gästen aus Politik, Wirtschaft und Wissenschaft würdigt das KIT seinen ehemaligen Präsidenten als Architekten eines geeinten KIT Mehr erfahren |
![]() (09.11.2023)InformatiKOM feierlich eröffnet Klaus Tschira Stiftung übergibt zwei Institutsgebäude am Campus Süd des KIT – Die neuen Gebäude vereinen Informatik und Wissenschaftskommunikation Mehr erfahren |
![]() (09.11.2023)Erna-Scheffler-Förderpreis für junge Forscherinnen des KIT Soroptimist International Club Karlsruhe zeichnete Mathematikerin Martha Maria Frysztacki und Informatikerin Katharina Flügel aus Mehr erfahren |
![]() (07.11.2023)Shanghai-Ranking: KIT belegt Spitzenplätze In Metallurgie, Energiewissenschaften und Meteorologie zählt das KIT zu den besten 50 Hochschulen weltweit. Deutschlandweit in acht Fächern auf Rang 1 Mehr erfahren |
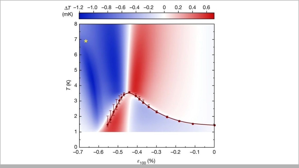
![]() (07.11.2023)Quantenmaterialien: Supraleiter läuft unter Druck zur Hochform auf Publikation in Science: Quantenmechanische Anregungen der Elektronen in Strontiumruthanat erhöhen Supraleitung und erleichtern Verformung Mehr erfahren |
![]() (02.11.2023)Energiewende: Energieautark im Einfamilienhaus Nach Berechnungen von Forschenden des KIT könnte sich mehr als die Hälfte der europäischen Einfamilienhäuser vollständig selbst mit Energie versorgen Mehr erfahren |
![]() (30.10.2023)Grundlagen für die Wissenschaft der Vorhersage Tilmann Gneiting erhält hochrangige Auszeichnung der American Mathematical Society Mehr erfahren |
![]() (26.10.2023)Quantentechnologien: Tiefer Blick in die Dunkle Materie Wolfgang Wernsdorfer erhält ERC Synergy Grant – Sechsjähriges internationales Projekt DarkQuantum nutzt Quantentechnologien zum Nachweis der Existenz von Axionen Mehr erfahren |
![]() (25.10.2023)Gips-Schüle-Forschungspreis für Kohlenstoff aus CO2 Mit dem NECOC-Verfahren wandeln Forschende des KIT das klimaschädliche Treibhausgas Kohlenstoffdioxid (CO2) in einen Hightech-Rohstoff um Mehr erfahren |
![]() (25.10.2023)Lehramt studieren in Karlsruhe Gemeinsame Veranstaltung von vier Karlsruher Hochschulen informiert über verschiedene Lehramtsstudiengänge Mehr erfahren |
![]() (23.10.2023)Autonomes Ridepooling soll die Verkehrswende unterstützen Bund fördert Projekt in der Modellregion Hamburg – Forschende des KIT untersuchen darin das Verhalten der Nutzenden von Mobilitätsangeboten Mehr erfahren |
![]() (20.10.2023)KIT am Europäischen Quantenzentrum beteiligt Mit einer Brückenprofessur forscht Anja Metelmann in Karlsruhe und Straßburg zum Quantencomputing Mehr erfahren |
![]() (19.10.2023)Mehr als 5 000 Studienanfängerinnen und -anfänger starten am KIT Erstsemesterbegrüßung im Audimax und online – insgesamt rund 22 000 Studentinnen und Studenten im Wintersemester Mehr erfahren |
![]() (18.10.2023)Einheitliches Telemedizinnetzwerk für deutsche Universitätskliniken Als Partner im Projekt „Universitäres Telemedizinnetzwerk“ erforscht das KIT die sichere und geschützte Datenzusammenführung Mehr erfahren |
![]() (17.10.2023)Team des KIT holt Sieg mit „Unkraut“-Getränk Mit einem Trunk aus Brennnessel und Giersch hat ein Studierendenteam den Food-Innovation-Wettbewerb ECOTROPHELIA gewonnen Mehr erfahren |
![]() (13.10.2023)Künstliche Intelligenz: Chancen stärker nutzen Beim Treffen der Alexander von Humboldt-Stiftung haben Expertinnen und Experten sieben Empfehlungen zu KI für die Bundesregierung erarbeitet Mehr erfahren |
![]() (13.10.2023)Oberrheinische Universitäten und Städte stärken Zusammenarbeit Im Blickpunkt des zweiten „Eucor-Städte-Treffens“ stand die Intensivierung der Zusammenarbeit von Hochschulen und Städten am Oberrhein Mehr erfahren |
![]() (12.10.2023)Missbrauchsresistente digitale Überwachung Sicherheitsprotokolle sollen gesetzlich geforderte Überwachung von digitaler Kommunikation resistenter gegen Missbrauch und Massenüberwachung machen Mehr erfahren |
![]() (11.10.2023)Mehr Nahrung produzieren und gleichzeitig mehr Kohlenstoff speichern Forschungsteam zeigt, wie sich durch eine veränderte Landnutzung gleichzeitig die Nahrungsmittelproduktion steigern und mehr Kohlenstoff speichern lässt Mehr erfahren |
![]() (05.10.2023)THE World University Ranking: KIT rückt 49 Plätze nach vorne KIT auf Platz 140 weltweit – stark in den Bereichen Forschung, Internationale Ausrichtung und Drittmitteleinwerbung Mehr erfahren |
![]() (05.10.2023)Nachhaltigere Landwirtschaft durch Umverteilung von Stickstoffdünger Modelle zeigen, dass eine gleichmäßige globale Verteilung von Stickstoffdünger die weltweite Belastung der Umwelt deutlich verringern könnte Mehr erfahren |
![]() (29.09.2023)Windenergietestfeld startet mit Forschung Im Forschungsprojekt WINSENTvalid untersucht das KIT gemeinsam mit Partnern den Betrieb von Windkraftanlagen in bergigem Terrain Mehr erfahren |
![]() (28.09.2023)Neue Ammoniakreaktion könnte nachhaltige Stickstoffquelle ermöglichen Forschende des KIT stellen neues System zur Aktivierung und katalytischen Übertragung von Ammoniak vor – Katalyse basiert auf Hauptgruppenelementen Mehr erfahren |
![]() (28.09.2023)Neue Ansätze in der Krebstherapie Forschende des KIT haben für fortgeschrittene Krebsarten, die gegen herkömmliche Therapien resistent sind, neuartige Hemmstoffe entwickelt Mehr erfahren |
![]() (28.09.2023)KIT Science Week: Nachhaltigkeit und Klimaschutz aktiv gestalten Mitreden, mitforschen, mitgestalten: Zweite KIT Science Week mit Veranstaltungsformaten für alle Interessierten Mehr erfahren |
![]() (26.09.2023)Windeln reloaded: 200-mal schneller recyceln mit Licht Wasser und UV-Strahlung lösen vernetzte Polymere von Windeleinlagen schnell, energiesparsam und ohne Chemikalien auf – Recycelte Kunststoffmoleküle vielseitig anwendbar Mehr erfahren |
![]() (22.09.2023)Erfolge auf dem Weg zur vollautomatisierten Baustelle Forschende des KIT haben eine Plattform entwickelt, die mittelständischen Unternehmen hilft, Dokumente zu digitalisieren und zu strukturieren Mehr erfahren |
![]() (22.09.2023)Genauere Wettervorhersagen Forschende des KIT untersuchen, inwieweit sich die Qualität von Wettervorhersagen durch zusätzliche Messdaten verbessern lässt Mehr erfahren |
![]() (21.09.2023)Joachim Nagel erhält Heinrich-Hertz-Gastprofessur 2023 Der Präsident der Deutschen Bundesbank spricht in einem öffentlichen Vortrag über die Rolle des Euro für Bürgerinnen und Bürger, Politik und Zentralbank Mehr erfahren |
![]() (19.09.2023)Zukunft gemeinsam nachhaltig gestalten Bei der zweiten KIT Science Week dreht sich alles um Nachhaltigkeit und Klimaschutz – auch in diesem Jahr ist das InnovationFestival @karlsruhe.digital mit dabei Mehr erfahren |
![]() (19.09.2023)Wärmepumpen im Altbau Verbundvorhaben hat den Einsatz von Wärmepumpen im Bestand erforscht – Praktische Handreichung zur Umsetzung veröffentlicht Mehr erfahren |
![]() (15.09.2023)Deutschlands beste Informatik-Talente ausgezeichnet Bundesweiter IT-Nachwuchs misst sich beim Finale des Bundeswettbewerbs Informatik am KIT Mehr erfahren |
![]() (14.09.2023)Forschung zu Bioprozessen, Biosensoren und Kälteerzeugung Nadja Alina Henke, Gözde Kabay und Jingyuan Xu erhalten Förderung der Carl-Zeiss-Stiftung – Programm CZS Nexus unterstützt Wissenschaftsnachwuchs in MINT-Disziplinen Mehr erfahren |
![]() (14.09.2023)Virtueller Einblick in die Wolkenforschung am KIT In der Simulationskammer AIDAc untersuchen Forschende die Wolkenbildung – Interessierte können Einrichtung von zu Hause aus besuchen Mehr erfahren |
![]() (11.09.2023)40 Jahre Supercomputing in Karlsruhe 1983 beschaffte die damalige Universität Karlsruhe, die Vorläuferinstitution des KIT, den ersten Hochleistungsrechner Mehr erfahren |
![]() (06.09.2023)Ausbildungsbeginn am KIT 92 Auszubildende und 21 dual Studierende starteten ins Ausbildungsjahr 2023 – über 25 Ausbildungsberufe und mehr als 12 duale Studiengänge am KIT Mehr erfahren |
![]() (06.09.2023)Besseres Wassermanagement soll Moore retten Forschende entwickeln Handlungsempfehlungen gegen Austrocknung – Landesumweltministerin Thekla Walker besuchte Projekt des Aueninstituts am KIT Mehr erfahren |
![]() (05.09.2023)Barrierefreie virtuelle Realität und Quanteninformationsverarbeitung Für ihre Forschungsprojekte erhalten Kathrin Gerling und Philip Willke vom KIT Starting Grants vom Europäischen Forschungsrat Mehr erfahren |
![]() (05.09.2023)Nachhaltiges Lithium für viele Jahrzehnte Forschende des KIT sehen langjährige Perspektive für die Lithiumförderung mit Geothermieanlagen Mehr erfahren |
![]() (31.08.2023)Erste „Conference on Research Data Infrastructure“ am KIT Konferenz zur besseren Nutzung von Forschungsdaten findet erstmals in Karlsruhe statt Mehr erfahren |
![]() (30.08.2023)Bodenversalzung: Wilder Wein wehrt sich Forschende des KIT untersuchen Salztoleranz von wildem Wein, um Kulturpflanzen widerstandsfähiger zu machen Mehr erfahren |
![]() (30.08.2023)Geisterteilchen aus der Milchstraße IceCube-Neutrino-Experiment in der Antarktis entdeckt erstmals hochenergetische Neutrinos aus unserer Heimatgalaxis – Neuartige Abbildung entstanden Mehr erfahren |
![]() (29.08.2023)Das KIT trauert um Nora Szech Die Professorin für Politische Ökonomie hatte sich mit ihrer Arbeit zum Zusammenhang von Märkten und Moral internationales Renommee erworben. Zum Nachruf |
![]() (24.08.2023)Lithium-Versorgung: Heimische Quellen nutzen Konventionelle und unkonventionelle Lithium-Quellen in Deutschland und Europa können dabei helfen, den Bedarf in den kommenden Jahren zu decken Mehr erfahren |
![]() (23.08.2023)Spitzenforschung für eine nachhaltige Gesellschaft Jahresbericht 2022 des KIT mit Höhepunkten aus Forschung, Lehre und Innovation erschienen Mehr erfahren |
![]() (22.08.2023)Schlaue Kommissionierroboter greifen gemeinsam besser Maschinelles Lernen: Forschende entwickeln datensichere Trainingsplattform für intelligente Industrieroboter Mehr erfahren |
![]() (18.08.2023)Quantencomputing: Skalierbare Elektronik entwickelt Zwei Nachwuchswissenschaftler des Karlsruher Instituts für Technologie (KIT) haben patentierte Systeme für eine enorm gesteigerte Datenauslese entwickelt Mehr erfahren |
![]() (17.08.2023)Globale Hitzewelle 2023: Juli brachte die heißesten drei Wochen aller Zeiten Forschende des KIT veröffentlichen Bericht über diesjährige Temperaturrekorde auf der Nordhalbkugel – Hitze-Hotspot in Europa war mit Abstand Italien Mehr erfahren |
![]() (16.08.2023)Starke Winzlinge: Transportsystem trägt 40 Tonnen Spin-Off des KIT hat ein teilautomatisiertes Transportsystem für den Austausch von Produktionsanlagen entwickelt, das wie ein Schwarm funktioniert Mehr erfahren |
![]() (11.08.2023)Holger Hanselka tritt Amt als Präsident der Fraunhofer-Gesellschaft an Findungskommission eingerichtet – in der Übergangszeit vertritt Oliver Kraft das KIT nach innen und außen Mehr erfahren |
![]() (04.08.2023)Temperaturen der Landoberfläche folgen simpler Physik Die zugrundeliegenden Prozesse sind komplex, folgen aber einfachen und vorhersehbaren Mustern Mehr erfahren |
![]() (04.08.2023)Forschungsflug zur asiatischen Antizyklone Mit Technologie aus dem KIT wird im Forschungsprojekt PHILEAS der Transport von Treibhausgasen und Aerosolen über dem Pazifik untersucht Mehr erfahren |
![]() (03.08.2023)Nano-Ringe: Neuartige Bausteine für die Chemie Neue Verbindungen erweitern das Spektrum der metallorganischen Chemie –Sandwich-Komplexe in Ringform halten durch eigene Energie zusammen Mehr erfahren |
![]() (01.08.2023)Klimaschutz: Kohlenstoffsenke schrumpft durch Landnutzungsänderungen Forschende berechnen Kohlenstoffspeicher in Osteuropa anhand von Modellen, Satellitendaten und Statistiken neu Mehr erfahren |
![]() (28.07.2023)Bettina Stark-Watzinger zu Besuch am KIT Robotik, KI, nachhaltige Produktion: Die Bundesforschungsministerin informierte sich bei ihrer Sommertour über die Arbeit des KIT an Zukunftsthemen Mehr erfahren |
![]() (27.07.2023)Materialforschung: Biokatalytische Schäume mit enormer Haltbarkeit und Aktivität Forschende des KIT entwickeln aus Enzymen eine neue Material-Klasse für Biokatalyse-Prozesse Mehr erfahren |
![]() (25.07.2023)Neue Kuppel für das Atmosphären-Observatorium des KIT auf der Zugspitze Messstation des KIT-Campus Alpin startet mit neuster Technik weitere Forschung zu Aerosolen, Wolken und reaktiven Spurengasen Mehr erfahren |
![]() (25.07.2023)Mit der molekularen Schere den Traum von Mendel verwirklichen Chancen für eine nachhaltigere Landwirtschaft: Holger Puchta erhält Reinhart Koselleck-Projekt zur gezielten Restrukturierung von Pflanzengenomen Mehr erfahren |
![]() (21.07.2023)Wissenstransfer: Neuer Service-Katalog zu KI-Spitzenforschung Smart Data Innovation Lab bietet Transferleistungen für Unternehmen – Bewerbungsschluss für die kostenlose Testmöglichkeit ist der 20. September 2023 Mehr erfahren |
![]() (20.07.2023)Maschinelles Lernen: Künstliche neuronale Netze lokalisieren Herzstolpern Forschende am KIT nutzen Deep Learning zur nichtinvasiven Ermittlung des Ursprungsorts von Extrasystolen aus den Herzkammern Mehr erfahren |
![]() (19.07.2023)Effekte städtischer Wälder Forschende des KIT untersuchen Zusammenhänge zwischen der Baumartenvielfalt städtischer Wälder und dem menschlichen Wohlbefinden Mehr erfahren |
![]() (18.07.2023)Alternative zu Phosphatdünger auf Biochar-Basis Schnelles Wachstum oder langfristige Kooperation – Je nach Biochar-Dünger reagieren Pflanzen in Symbiose mit Mykorrhizapilzen molekular ganz anders Mehr erfahren |
![]() (05.07.2023)Portal „Expertinnen und Experten des KIT“ Kompetente Ansprechpersonen zu aktuellen, gesellschaftsrelevanten Themen: Rund 80 Forschende und ihre Themen im Porträt Mehr erfahren |
![]() (12.07.2023)Batterieforschung: Zentrale Akteure zusammenbringen und Fachkräfte aufbauen Im Rahmen von QualiBattBW werden Qualifizierungsangebote für baden-württembergische Unternehmen entwickelt, um den Standort nachhaltig zu stärken Mehr erfahren |
![]() (10.07.2023)KIT verbessert bei Gleichstellungsranking CEWS Aufstieg um zwei Ranggruppen mit sieben von zwölf Punkten – Positive Entwicklung in den Kategorien „Hauptberufliches wissenschaftliches Personal“ und „Postdocs“ Mehr erfahren |
![]() (06.07.2023)Klimawandel: Auswirkungen von Wiederaufforstung Forschende des KIT untersuchen, wie sich eine Renaturierungsinitiative im afrikanischen Sahel auf Niederschläge vor Ort auswirkt Mehr erfahren |
![]() (05.07.2023)Präsident des KIT erhält Kulturpreis für Völkerverständigung Auszeichnung würdigt den Einsatz von Holger Hanselka für die Internationalisierung der Forschungsuniversität und die Flüchtlingshilfe am KIT Mehr erfahren |
![]() (04.07.2023)Sanierung mit KI-Unterstützung Das Projekt NaiS setzte sich beim bundesweiten Green Tech Innovationswettbewerb durch und erhielt den Zuschlag für die Entwicklung einer digitalen Austauschplattform Mehr erfahren |
![]() (30.06.2023)Förderung der Vielfalt Mittel aus der Initiative „Vielfalt an deutschen Hochschulen“ ermöglichen dem KIT zusätzliche Maßnahmen – Gesamtkonzept „Diversity Mainstreaming“ Mehr erfahren |
![]() (29.06.2023)Körperliche Leistungsfähigkeit von Kindern nimmt ab Das jährliche Monitoring von KIT und Kinderturnstiftung offenbart einen Rückgang der Fitness in den Corona-Jahren 2020 bis 2022 Mehr erfahren |
![]() (28.06.2023)QS World University Rankings 2024 KIT verbessert sich um 22 Plätze im Vergleich zum vergangenen Jahr und zählt zu den besten acht Prozent der QS-Weltrangliste der Hochschulen Mehr erfahren |
![]() (27.06.2023)KIT im Rathaus: Das Universum und wir Forschende des KIT-Zentrums Elementarteilchen- und Astroteilchenphysik (KCETA) stellen der Öffentlichkeit ihre aktuelle Forschung vor Mehr erfahren |
![]() (27.06.2023)Mit KI-Methoden Veränderungen der Stratosphäre besser vorhersagen Studie über die Stratosphäre verringert Unsicherheiten in zukünftigen Klimawandelprognosen Mehr erfahren |
![]() (26.06.2023)Eucor-MobiLab Roadshow 2023 startet in Freiburg Rollendes Partizipationslabor des KIT auf Dreiländer-Tour: Dialog von Wissenschaft und Gesellschaft über eine nachhaltige Zukunft am Oberrhein Mehr erfahren |
![]() (23.06.2023)Schroff-Hochbegabten-Stipendien vergeben Fünfzehn Studierende erhalten ein Stipendium der Gunther-Schroff-Stiftung – Nachwuchsförderung für Maschinenbau, Elektro- und Informationstechnik Mehr erfahren |
![]() (23.06.2023)Fortschrittliche Analytik für die Batteriefertigung Forschende des KIT optimieren Batterieproduktion durch den Einsatz von Plasmaspektroskopie und wollen Qualitätsschwankungen reduzieren Mehr erfahren |
![]() (21.06.2023)Technikfolgenabschätzung: KIT berät den Bundestag für weitere fünf Jahre Das Institut für Technikfolgenabschätzung und Systemanalyse des KIT wird für weitere fünf Jahre das Büro für Technikfolgen-Abschätzung beim Deutschen Bundestag betreiben Mehr erfahren |
![]() (21.06.2023)Energiewende mit Wasserstoff vom Dach Forschende des KIT optimieren künstliche Fotosynthese für die Massenanwendung Mehr erfahren |
![]() (20.06.2023)Tuberkulosetherapie: Winzige Teilchen sollen künftig Wirkstoff in die Lunge bringen KIT und Forschungszentrum Borstel stellen Nanopartikel mit hohem Antibiotikumgehalt zur Inhalation vor – Antibiotika-Nanocarrier können Entwicklung von Resistenzen verringern und Verträglichkeit erhöhen Mehr erfahren |
![]() (17.06.2023)Erfolgreicher Tag der offenen Tür des KIT Rund 25 000 Besucherinnen und Besucher am Campus Nord – Wissenschaft und mehr für die ganze Familie Mehr erfahren |
![]() (16.06.2023)Lehrkräfte-Ausbildung wider den Fachkräfte-Mangel Seit mehr als zehn Jahren bringt der Studiengang „Naturwissenschaft und Technik“ die Technikwissenschaften vom KIT an die Schule – Erstmals Lehrpreis vergeben Mehr erfahren |
![]() (13.06.2023)Dunkle Materie: Deutsch-französisches Laboratorium gegründet KIT will mit internationalen Partnern die Natur der geheimnisvollen Dunklen Materie erforschen und so zu ihrem Nachweis beitragen. Mehr erfahren |
![]() Effektvoll am KIT: Tag der offenen Tür 2023 Blick in Institute, Labore und Werkstätten beim Campus Nord des KIT am 17. Juni – Besichtigungen, Vorträge, Ausstellungen – Kinderprogramm – Showbühne – EFFEKTE-Auftakt Mehr erfahren |
![]() (07.06.2023)Nanomaterialien: Glas sinterfrei in 3D gedruckt Am KIT entwickeltes Verfahren kommt mit relativ niedrigen Temperaturen aus und ermöglicht hohe Auflösungen für Anwendungen in Optik und Halbleitertechnik. Mehr erfahren |
![]() (06.06.2023)Organische Leuchtdioden: So strahlt das Blau heller und länger Zweikanalige intra-/intermolekulare Exciplex-Emission ermöglicht effiziente tiefblaue Elektrolumineszenz – Publikation in Science Advances präsentiert neuartige blaue OLEDs Mehr erfahren |
![]() (20.06.2023)Spracherkennung wie im menschlichen Ohr Forschende entwickeln Mikrofon, das Schallsignale in unterschiedlich lauten Umgebungen erkennen und digitale Anwendungen verbessern kann Mehr erfahren |
![]() (01.06.2023)Motorikforschung: Daten auf einen Blick DFG-geförderte eResearch-Infrastruktur MO|RE data stellt alle verfügbaren Forschungsdaten zur motorischen Leistungsfähigkeit gebündelt zur Verfügung Mehr erfahren |
![]() (01.06.2023)Dem Gewitter auf der Spur Messkampagne im Schwarzwald untersucht Wetterextreme, um ihre Ursachen und Folgen besser verstehen und vorhersagen zu können Mehr erfahren |
![]() (24.05.2023)Theater trifft Forschung: „Nerds retten die Welt“ Wissenschaftsperformance – Badisches Staatstheater Karlsruhe und KIT mit einer gemeinsamen Veranstaltung auf dem Campus Süd Mehr erfahren |
![]() (25.05.2023)Holger Hanselka wird neuer Präsident der Fraunhofer-Gesellschaft Fraunhofer-Senat wählte den Präsidenten des KIT in seiner heutigen Sitzung Mehr erfahren |
![]() (24.05.2023)KIT unter den innovationsstärksten Hochschulen Im deutschlandweiten Vergleich der Jahre 2010 bis 2019 belegt die Forschungsuniversität Platz 2 bei den Patentanmeldungen Mehr erfahren |
![]() (23.05.2023)Autos schnell updaten wie ein Smartphone Neuer Sonderforschungsbereich für Softwaremethoden am KIT – DFG fördert Spitzenforschung in Karlsruhe mit rund 11 Millionen Euro Mehr erfahren |
![]() (23.05.2023)Effektvoll am KIT: Tag der offenen Tür 2023 Blick in Institute, Labore und Werkstätten beim Campus Nord des KIT am 17. Juni – Besichtigungen, Vorträge, Ausstellungen – Kinderprogramm – Showbühne – EFFEKTE-Auftakt Mehr erfahren |
![]() (22.05.2023)Erneuerbare Kraftstoffe aus Grünen Raffinerien Verbund aus Wissenschaft und Industrie konzipiert Prozesse und Bedarfsszenarien für Massenproduktion von synthetischen Kraftstoffen – Bund fördert mit rund 7 Millionen Euro Mehr erfahren |
![]() (17.05.2023)Die Energiewende resilient gestalten WPKS veröffentlicht Studie zur sicheren Rohstoffversorgung für klimafreundliche Technologien. Hintergrundpapier mit konkreten Handlungsempfehlungen Mehr erfahren |
![]() (15.05.2023)Humboldt-Professur: KI-Forscher Platzer ausgezeichnet In Berlin wurde Deutschlands höchstdotierter Forschungspreis verliehen – André Platzer forscht am KIT zur Sicherheit von Computer-Assistenzsystemen Mehr erfahren |
![]() (12.05.2023)Neue Fahrzeuge für zukünftige Mobilität Autos sind in ihrer heutigen Gestalt viel zu unflexibel, revolutionäre Konzepte für Personen- und Lastverkehr schaffen Abhilfe Mehr erfahren |
![]() (11.05.2023)Politikberatung für das Europäische Parlament Das KIT koordiniert eine Gruppe internationaler wissenschaftlicher Einrichtungen für Technikfolgenabschätzung Mehr erfahren |
![]() (04.05.2023)Dynamiken von gepulsten Teilchenstrahlen gefilmt Forschenden am KIT ist es gelungen, in einem Speicherring das Verhalten von mikrostrukturierten Elektronenpaketen abzubilden Mehr erfahren |
![]() (03.05.2023)Werkzeug gegen den Klimawandel Größte standortübergreifende Infrastruktur für die Atmosphärenforschung nun weltweit durch EU-Verordnung offiziell anerkannt Mehr erfahren |
![]() (02.05.2023)Hochleistungsrechner steuern Autos der Zukunft Im Forschungsprojekt CeCaS entstehen Prozessoren, Schnittstellen und Systemarchitekturen für hochautomatisierte vernetzte Fahrzeuge Mehr erfahren |
![]() (28.04.2023)Nachhaltiges Bauen: RoofKIT eröffnet Landesminister Peter Hauck besuchte die Eröffnung des innovativen Siegergebäudes vom Solar Decathlon 2021/22 am 26. April Mehr erfahren |
![]() (27.04.2023)Noémie Jaquier ist eine der KI-Newcomerinnen des Jahres Die Informatikerin des KIT erhält die Auszeichnung für ihre Forschung zum Erlernen von Roboterfähigkeiten Mehr erfahren |
![]() (27.04.2023)Photovoltaik: Energieversorgung mit Durchblick KIT entwickelt hocheffiziente, semitransparente organische Solarzellen - deutliche Vergrößerung der nutzbaren Photovoltaikflächen möglich Mehr erfahren |
![]() (27.04.2023)Intelligente Steuerung spart Heizkosten Forschende des KIT sehen erhebliches Potenzial durch den Einsatz von smarten Heizkörperthermostaten - Feldversuch ergibt 15,5 Prozent Einsparung Mehr erfahren |
![]() (26.04.2023)ChatGPT: „Klarmachen, auf was man sich einlässt“ Eine umfassende Einschätzung des spektakulären KI-Dialogsystems ChatGPT hat jetzt das Büro für Technikfolgen-Abschätzung beim Deutschen Bundestag vorgelegt Mehr erfahren |
![]() (25.04.2023)Origamiinspirierte Röntgendetektoren Forschende des KIT entwickeln neuartige Röntgendetektoren auf Basis tintenstrahlgedruckter Perowskit-Halbleiter mittels cleverer Falttechnik Mehr erfahren |
![]() (21.04.2023)Klima- und Biodiversitätskrise zusammen denken Neue Übersichtsstudie liefert Lösungsansätze für Minderung von Klimawandel und Artenschwund Mehr erfahren |
![]() (19.04.2023)Neuartiger Nurflügler in der Entwicklung Die Akaflieg Karlsruhe stellt bei der Flugmesse AERO in Friedrichshafen den aktuellen Stand ihres selbstentwickelten Segelflugzeugs AK-X vor Mehr erfahren |
![]() (19.04.2023)Energiespeichermaterialien: Lithium aus heißem Tiefenwasser Forschende des KIT und der EnBW zeigen Lithium-Ionen-Sieb für geothermale Solen – Lithium-Gewinnung kann Stromerzeugung und Wärmebereitstellung ergänzen Mehr erfahren |
![]() (14.04.2023)Flexible Photovoltaik durch gedruckte Solarzellen KIT und Partner starten Innovationsplattform Solar TAP und wollen Mehrzweckphotovoltaik in den Alltag bringen Mehr erfahren |
![]() (14.04.2023)KIT entwickelt begehrte Undulatoren Forschungseinrichtungen weltweit nutzen Synchrotrontechnologien, die das KIT mit dem Industriepartner Bilfinger Noell entwickelt Mehr erfahren |
![]() (13.04.2023)Kunst trifft Forschung: Gemeinsame Aktion für mehr Nachhaltigkeit KIT macht mit bei „Keine Stille vor dem Sturm – Tage der Nachhaltigkeit“, einer Veranstaltungsreihe für Kinder und Erwachsene Mehr erfahren |
![]() (12.04.2023)Bau- und Wohntrends im Zeichen des Klimawandels Wissenswoche „Architektur & Bautechnologie“ mit vielfältigen Informations- und Mitmachangeboten für interessierte Bürgerinnen und Bürger Mehr erfahren |
![]() (12.04.2023)Optische Filter und Spiegel aus dem Tintenstrahldrucker Forschende des KIT zeigen auf der Hannover Messe 2023, wie sich optische Filter und dielektrische Spiegel maßgeschneidert, kostengünstig und energiesparsam fertigen lassen Mehr erfahren |
![]() (06.04.2023)Metamaterialien: Zeitkristall bringt Licht in Schwung Forschende des KIT entwickeln erstmals zweidimensionalen photonischen Zeitkristall – Anwendung verspricht Fortschritte in der drahtlosen Kommunikation und bei Lasern Mehr erfahren |
![]() (06.04.2023)Höhepunkte des Jahres Forschungserfolge für eine nachhaltigere Gesellschaft: Das KIT präsentiert im Videorückblick die Highlights der vergangen zwölf Monate Mehr erfahren |
![]() (06.04.2023)Nachhaltige Erzeugung von Wasserstoff Forschende des KIT erstellen Machbarkeitsstudie zur großtechnischen Wasserstoffproduktion und Kohlenstoffabscheidung durch Gasphasen-Methanpyrolyse Mehr erfahren |
![]() (06.04.2023)Spitzenforschung zu den großen Fragen des Universums Das Wissenschaftsjahr 2023 – Unser Universum und die Weiterentwicklung des KIT standen im Mittelpunkt bei der Jahresfeier des KIT Mehr erfahren |
![]() (05.04.2023)Effizienzsteigerung für Solarzellen Ausgründung Phytonics entwickelt Spezialbeschichtung: Bis zu 10 Prozent mehr Ertrag. KIT beteiligt sich an erfolgreicher Finanzierungsrunde Mehr erfahren |
![]() (05.04.2023)Duale Karrieren für Sporttalente – am KIT und in Europa KIT seit 20 Jahren „Partnerhochschule des Spitzensports“ – Mehr als 80 geförderte Top-Athletinnen und -Athleten – Projekt SAMEurope schafft europäische Vernetzung Mehr erfahren |
![]() (05.04.2023)Bundesweites Projekt soll Produktion von reFuels beschleunigen Verbund aus Wissenschaft, Industrie und Politik vernetzt vielversprechende Aktivitäten in Forschung, Entwicklung und Anwendung – Bund fördert mit 5 Millionen Euro Mehr erfahren |
![]() (04.04.2023)Friedrich Merz zu Besuch am KIT Am KIT informierte sich der CDU-Bundesvorsitzende über aktuelle Forschung zu Energie und Klimaschutz Mehr erfahren |
![]() (04.04.2023)Schub für Flexibilisierung des Busverkehrs Automatisiertes Fahren in Kolonne passt Nahverkehr flexibel der Nachfrage an – Umstellung auf Elektrobetrieb vereinfacht Mehr erfahren |
![]() (03.04.2023)Digitale Transformation der Wissenschaft Leibniz-Senat bewilligt Förderung in Höhe von rund 1,2 Millionen Euro für den WissenschaftsCampus „Digital Transformation in Research“ von FIZ Karlsruhe und KIT Mehr erfahren |
![]() (31.03.2023)Jugend forscht am KIT entschieden: Aus Ideen wird Großes Beim Finale des Landeswettbewerbs Jugend forscht Baden-Württemberg am KIT stehen die Siegerinnen und Sieger fest Mehr erfahren |
![]() (30.03.2023)ERC Advanced Grant für Forscher des KIT Neuartige Nanotinten für maßgeschneiderte und kostengünstige thermoelektrische Generatoren: ERC fördert Projekt von Uli Lemmer mit 2,4 Millionen Euro Mehr erfahren |
![]() (29.03.2023)Girls‘ Day 2023: Information und Erlebnis am KIT „Mädchen-Zukunftstag“ am 27. April für Schülerinnen ab Klasse 5 mit vielfältigem Programm zu Studiengängen und Ausbildungsberufen – Anmeldungen möglich bis 20. April Mehr erfahren |
![]() (28.03.2023)Batterierecycling: 70 Prozent des Lithiums zurückgewonnen Forschende des KIT entwickeln preisgünstiges und umweltverträgliches mechanochemisches Wiederverwertungsverfahren Mehr erfahren |
![]() (27.03.2023)Lücken in der Klimapolitik Wissenschaftsplattform Klimaschutz übergibt Ministerien Stellungnahme zu langfristiger Strategie. „Klimaziele auch unter Stressbedingungen verfolgen.“ Mehr erfahren |
![]() (27.03.2023)Hannover Messe 2023: Nachhaltige Lösungen für Mobilität, Energie und Industrie Das KIT präsentiert vom 17. bis 21. April 2023 innovative Technologien an den beiden Hauptständen im „Future Hub“ und bei den „Energy Solutions“ Mehr erfahren |
![]() (24.03.2023)Partnerschaften für die Mobilität der Zukunft Elf Konsortien werden im Zuge der InnovationChallenge des Innovationscampus Mobilität der Zukunft gefördert, davon sieben am KIT Mehr erfahren |
![]() (23.03.2023)QS-Ranking: KIT erneut beste deutsche Hochschule in Chemieingenieurwesen Im weltweiten „QS World University Rankings by Subject 2022” liegt das KIT in zwei Fachbereichen sowie in vier Einzelfächern unter den 50 besten Hochschulen weltweit Mehr erfahren |
![]() (20.03.2023)Nachhaltig Leben und Arbeiten? Herausforderung angenommen! In dieser Mitmachaktion suchen Bürgerinnen und Bürger gemeinsam mit Forschenden des KIT nach Ideen und Lösungen für ein nachhaltiges Leben und Arbeiten Mehr erfahren |
![]() (16.03.2023)Materialforschung: Neuer Hochleistungsrechner am KIT Mit dem Supercomputer können Forschende neue Materialien etwa für die Medizin- oder Energieforschung viel schneller entwickeln Mehr erfahren |
![]() (16.03.2023)Landeswettbewerb Jugend forscht geht ins Finale Blick in die Zukunft bei der Finalrunde in Baden-Württemberg: Am 31. März 2023 können die Projekte am Karlsruher Institut für Technologie besichtigt werden Mehr erfahren |
![]() (15.03.2023)Schlüsselkomponenten für die Quantentechnologie Forschende am KIT entwickeln die nächste Generation von parametrischen Verstärkern, die in Quantencomputern zum Einsatz kommen könnten Mehr erfahren |
![]() (15.03.2023)Projektwoche zur nachhaltigen Landwirtschaft Frühlingsakademie Nachhaltigkeit am KIT mit öffentlichem Vortrag, Forum und Podiumsdiskussion Mehr erfahren |
![]() (10.03.2023)Forschung für eine sichere Endlagerung Aktuelle Publikation unter Beteiligung des KIT diskutiert, wie Forschungslandschaft und Forschung in Sachen Endlagerung gestaltet werden könnten Mehr erfahren |
![]() (07.03.2023)Lernen für Industrie 4.0 Digitalisierung der industriellen Produktion erfordert grundlegend neue Kompetenzen - Projekt am KIT untersucht Beitrag von Lernfabriken Mehr erfahren |
![]() (07.03.2023)Batterien: Wichtiges Rätsel der Passivierungsschicht gelöst Forschende des KIT charakterisieren mithilfe von Simulationen die chemischen Vorgänge an den Elektroden von Lithium-Ionen-Batterien Mehr erfahren |
![]() (06.03.2023)Genomforschung: Wiege und Weg des Weins Internationales Projekt klärt Herkunft der Weinrebe – Wildrebendatenbank des KIT trägt zur Aufklärung des genetischen Stammbaums bei – Publikation in Science Mehr erfahren |
![]() (01.03.2023)Neues KIT-Zentrum für Gesundheitstechnologien gestartet Das Zentrum „Health Technologies“ soll den digitalen Wandel von Medizintechnologien, personalisierter Medizin und Patientenversorgung vorantreiben Mehr erfahren |
![]() (01.03.2023)Lithium-Monitoring mit Laserstrahlen KIT und Partner entwickeln neue Methode zur kontinuierlichen Messung von Lithiumkonzentrationen in Thermalwasser für einen effizienteren Abbau Mehr erfahren |
![]() (01.03.2023)Neue Vizepräsidentin Digitalisierung und Nachhaltigkeit Die Volkswirtin Kora Kristof tritt ihr Amt am KIT an - Neues Präsidiumsressort bündelt zwei zentrale Transformationsthemen Mehr erfahren |
![]() (27.02.2023)Automatische Paketverteilung und bessere Personenerkennung Forschende am KIT entwickeln verbesserte Kameras für das automatische Fahren und autonome Roboterfahrzeuge, die Pakete verteilen Mehr erfahren |
![]() (24.02.2023)Festkörperbatterien unter der Lupe Forschende des Batterie-Kompetenzclusters FestBatt veröffentlichen detaillierte Analyse zum Entwicklungsstand von Festkörperbatterien Mehr erfahren |
![]() (20.02.2023)Mehr Autonomie für ein gestärktes KIT Zweites KIT-Weiterentwicklungsgesetz stärkt Potenziale in Spitzenforschung, Lehre sowie Transfer und baut administrative Grenzziehungen ab Mehr erfahren |
![]() (20.02.2023)Förderung von Lithium aus europäischen Quellen Lithium aus europäischen Quellen soll die Rohstoffabhängigkeit durch nachhaltige, energieeffiziente und umweltfreundliche Produktionsketten reduzieren Mehr erfahren |
![]() (17.02.2023)Energie- und Klimaforschung für eine sichere Zukunft Thekla Walker besucht das KIT - Landesumweltministerin würdigt Innovationskraft und Nachwuchsförderung der Forschungsuniversität Mehr erfahren |
![]() (15.02.2023)Batterieforschung: EU-Projekt bündelt Kompetenzen Im Projekt „TwinVECTOR“ beteiligt sich das KIT am Aufbau langfristiger und europaweiter Partnerschaften zur Entwicklung nachhaltiger Batterien Mehr erfahren |
![]() (14.02.2023)Erdbeben in der Türkei und in Syrien Center for Disaster Management and Risk Reduction Technology (CEDIM) am KIT und Risklayer GmbH legen ersten Schadensbericht vor Mehr erfahren |
![]() (08.02.2023)Leichterer Zugang zu barrierefreien Materialien Projekt „Math4VIP“ will zentrale Plattform für den deutschen Sprachraum schaffen - Forschende des KIT bringen ihre Expertise in digitaler Barrierefreiheit und Assistiven Technologien ein Mehr erfahren |
![]() (03.02.2023)Winfried Kretschmann zu Besuch beim Exzellenzcluster POLiS Bei einem Besuch in Ulm informierte sich der baden-württembergische Ministerpräsident auch über die gemeinsame Batterieforschung von KIT und Universität Ulm Mehr erfahren |
![]() (03.02.2023)Fachzeitschriften reagieren auf Trendthemen Wissenschaftliche Themen, über die Medien viel berichten, haben anschließend Konjunktur in wissenschaftlichen Fachzeitschriften Mehr erfahren |
![]() (31.01.2023)ERC Consolidator Grants für zwei Forscher des KIT Ulrich W. Paetzold und Frank Biedermann erhalten rund zwei Millionen Euro für Forschungen zu Photovoltaik und Medizindiagnostik Mehr erfahren |
![]() (30.01.2023)Herkulesaufgabe Energiewende In einem Gastbeitrag mahnt der Präsident des KIT, Holger Hanselka, den Umbau des Energiesystems konsequent voranzutreiben Mehr erfahren |
![]() (26.01.2023)Chemie: Metallverbindungen der besonderen Art Forschende des KIT entdecken neue Eigenschaften bei Metallclustern - Starker Einfluss auf chemische und physikalische Eigenschaften Mehr erfahren |
![]() (23.01.2023)KIT im Rathaus: Im Zeitalter der Daten und Künstlichen Intelligenz Das KIT-Zentrum Information · Systeme · Technologien (KCIST) stellt der Öffentlichkeit seine aktuelle Forschung vor Mehr erfahren |
![]() (20.01.2023 )Energie: Neue Materialien für extreme Bedingungen EU-Projekt soll beschleunigte Entwicklung robuster Werkstoffe für Kraftwerke ermöglichen Mehr erfahren |
![]() (19.01.2023)Biotechnologie: Tumorwirkstoff aus Baumrinde nachbilden Forschende des KIT wollen Konflikt zwischen Wirkstoffgewinnung und Artenschutz lösen Mehr erfahren |
![]() (19.01.2023)"Diagnostik to go": Studi-Team entwickelt mobiles PCR-Testgerät Mit einem flexibel einsetzbaren Gerät für die PCR-Diagnostik erreichten vier Bachelor-Studierende des KIT im November den zweiten Platz beim Studierenden-Wettbewerb COSIMA Mehr erfahren |
![]() (12.01.2023)Elektromobilität: Mit vollelektrischen Bussen emissionsfrei reisen Forschende des KIT und Partner entwickeln unter der Leitung von Daimler Buses praxisgerechte vollelektrisch angetriebene Reisebusse Mehr erfahren |


































































































































































































